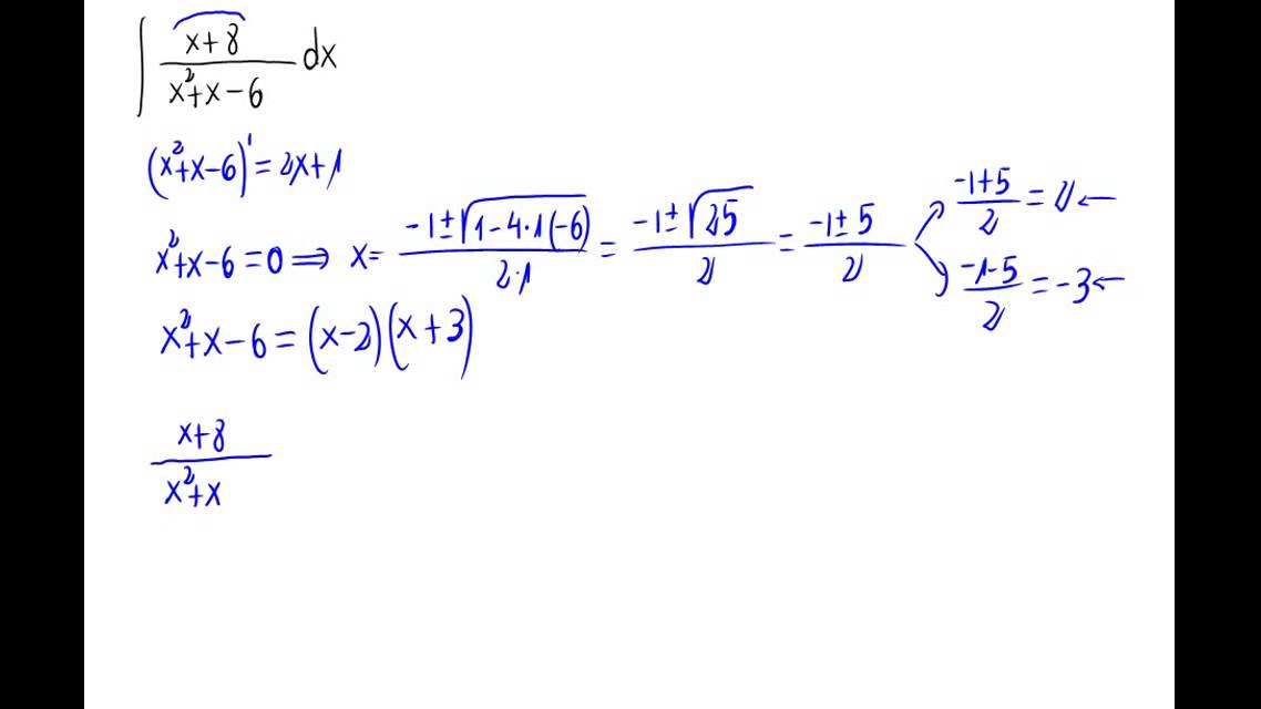
Podemos aplicar el método de fracciones simples: \displaystyle {\int} \dfrac {x^4 + x +2 } { (x^2 -9)x } dx ∫ (x2 −9)xx4 +x +2dx. Obervando el integrando, vemos que no se verifica la condición de los grados entre denominador y numerador. El numerador tiene grado 4 y denominador grado 3. Para salvar este inconveniente procedemos a.. Método de integración por descomposición en fracciones simples. Para resolver este tipo de integrales. se procede del siguiente modo: 1. Se descompone factorialmente el polinomio q(x), es decir, se hallan las raíces de la ecuación q(x) = 0. en los ejemplos. 3. Se integran los sumandos que resulten.
.gif)
INTEGRALES POR FRACCIONES PARCIALES EJERCICIOS RESUELTOS PDF

Integrales en Fracciones Simples YouTube

Cómo una fracción en fracciones simples (ejemplo 2) YouTube

Integración por en fracciones simples (video 1) YouTube

Integración por fracciones parciales Los cuatro casos Introducción YouTube

integración por Fracciones Parciales, en Fracciones Simples YouTube

Integración por en fracciones simples (parte II) YouTube

Integral por en fracciones simples, integrales racionales YouTube

Método de integración por en fracciones simples, parte 3 y Método de integración

Aprende Rápido y Fácil a Integrar Por Fracciones Simples o Parciales. Caso 4 YouTube

Ejemplo de integral por en fracciones simples YouTube

Cómo una fracción en fracciones simples (ejemplo 3) YouTube

Integrales en Fracciones Simples YouTube
11 Metodo de Integracion en Fracciones Simples PDF Integral Cálculo

Integración por en fracciones simples (parte III) YouTube

📚 de fracciones algebraicas en fracciones simples YouTube

INTEGRAL POR EN FRACCIONES 1 YouTube

Cálculo de áreas, integral por en fracciones simples YouTube

Integración por en fracciones simples (parte I) YouTube

INTEGRALES POR DE FRACCIONES PARCIALES YouTube
Calcular la integral \int\left (\frac {5x} {x^2-81}\right)dx ∫ (x2 −815x)dx. El método de descomposición en fracciones simples o fracciones parciales consiste en descomponer un cociente de polinomios en una suma de fracciones de polinomios de menor grado. Se utiliza principalmente en cálculo integral. El requisito más importante es que.. Encuentra todas nuestras calculadoras aquí. Go! Ejemplo resuelto de descomposición en fracciones simples. Simplificar \sqrt {x^2} x2 aplicando la regla de potencia de una potencia: \left (a^m\right)^n=a^ {m\cdot n} (am)n = am⋅n. En la expresión, m m es igual a 2 2 y n n es igual a \frac {1} {2} 21. Calcular la potencia \sqrt {4} 4.